flowchart TB A[Features] --> B(Parameters) B --> D[Properties, \n Characteristics] D --> C(Distribution) B --> C
the effect of a single term into the distribution of the response;prediction.flowchart TB A[Features] --> B(Parameters) B --> D[Properties, \n Characteristics] D --> C(Distribution) B --> C
ceteris paribus
\(\textbf{x}_j\) denote a single (or maximum two terms)
\(\textbf{x}_{-j}\) all the rest so \(\{\textbf{x}_j, \textbf{x}_{-j} \}\) are all terms in the model
\(\omega(D)\) the characteristic of the distribution we are interested \({D}(y | \textbf{x}_j , \textbf{x}_{-j}; \boldsymbol{\theta})\)
under scenario, \(\textbf{S}[g()]\).
\[{PE}_{\omega({D})}\left( \textbf{x}_{j} | \textbf{S} \left[ g(\textbf{x}_{-j})\right] \right)\]
Figure 2: pdf-plot of the fitted am1 mu model
fixing values of \(\textbf{x}_{-j}\) (mean or median for continuous, level with more number of observations for factors or other possible values of importance)
average over values of \(\textbf{x}_{-j}\)
Partial Dependence Plots (PDF), \(\textbf{S}\left[ \text{average}(\textbf{x}_{-j})\right]\)Accumulated Local Effects, (ALE), average ovet the derivativesMarginal Effects (ME) average over local neighbourhoodpredictors, \(\eta_{\theta_i}\);
parameters, \(\theta_i\);
moments, mean, variance;
quantiles, median;
distribution
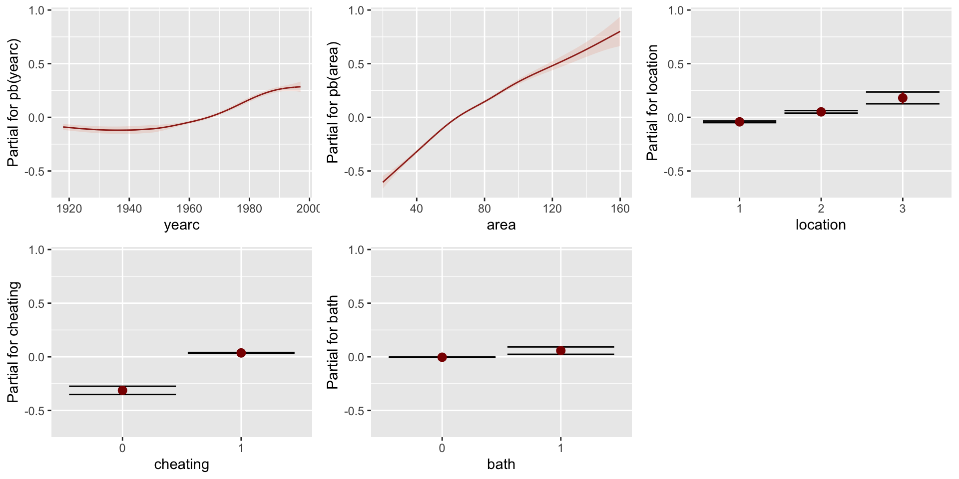
Figure 3: PE for mu for the additive smooth model.
Figure 4: PE for mu for the neural network model.
Figure 5: PE for sigma for the additive smooth model
Figure 6: PE for sigma
Figure 7: PE for mu modl for mfA1
Figure 8: PE for mu modl for mfA1
the BCTo do not always have moments
for \(\tau <=2\) the variance do not exist
for \(\tau <=1\) the mean do not exist
Figure 9: PE-quantiles 95%, 50%, 5% for mu model for mfA1
Figure 10: PE-quantiles 95%, 50%, 5% for mu model for mfNN
Figure 11: PE-distribution for mu model for mfA1
Figure 12: PE-distributions for mu model for mfNN
the purpose should be always in our mind when we try to analyse any data
the Munich rent data are collected almost every 10 years
guidance to judges on whether a disputed rent is a fair or not
purpose is to identify very low or very hight rents by correcting for the explanatory variables
similar in detecting “outliers”
a possible solution: prediction z-scores
Scenarios
| rent | area | yearc | location | bath | kitchen | heating |
|---|---|---|---|---|---|---|
| 1500 | 140 | 1983 | 3 | 1 | 1 | 1 |
| 1000 | 55 | 1915 | 1 | 0 | 0 | 0 |
| 800 | 65 | 1960 | 1 | 1 | 1 | 1 |
rent <- c(1500, 1000,800)
area <- c(140, 55, 65)
yearc <- c(1983, 1915, 1960)
location <- c(3,1,1)
bath <- c(1,0,1)
kitchen <- c(1,0,1)
cheating <- c(1,0,1)
ndat <- data.frame(rent, area, yearc, location, bath, kitchen, cheating)
cat("prediction z-scores", "\n")prediction z-scores
[1] 0.3088481 3.9675604 3.4323822
GAMLSS can tackle problems where the interest of the investigation lies not in the center but other parts of the distribution.
Personal view for the future of GAMLSS development;
theoretical contributions
software and
knowledge exchange
theoretical contributions
software
gamlss() to make it easier to incorporate LM algorithmsbooks and knowledge exchange
This is a collaborative work:
| working party | current | past |
|---|---|---|
Gillian Heller |
Konstantinos Pateras |
Popi Akantziliotou |
Fernanda De Bastiani |
Paul Eilers | Vlasios Voudouris |
Thomas Kneib |
Nikos Kametas | Nicoleta Mortan |
Achim Zaileis |
Tim Cole | Daniil Kiose |
Andreas Mayr |
Nikos Georgikopoulos | Dea-Jin Lee |
Nicolaus Umlauf |
Luiz Nakamura |
María Xosé Rodríguez-Álvarez |
Reto Stauffer |
Nadja Klein | Majid Djennad |
Robert Rigby |
Julian Merder |
Fiona McElduff |
Mikis Stasinopoulos |
Abu Hossain | Raydonal Ospina |
The Books

www.gamlss.com