
discrete count distributions defined on \(0,1,\ldots,\infty\); Poison type or infinity count discrete distributions
discrete count distributions defined on \(0,1,\ldots,n\); binomial type of finite count discrete distributions
The three major problems encounter when modelling count data using the Poisson distribution.
| No Param. | Modelling | Distributions |
|---|---|---|
| 1 | Location | GEOM, LG, PO, YULE |
| 2 | Location and scale | DPO, GPO, NBI, NBII, PIG, WARING |
| 2 | Location and zero probability | ZALG, ZAP, ZAZIPF, ZIP, ZIP2 |
| 3 | Location, scale and skewness | BNB, DEL, NBF, SI, SICHEL |
| 3 | Location, scale and zero probability | ZANBI, ZAPIG, ZINBI, ZIPIG |
| 4 | Location, scale, skewness and zero probability | ZANBF, ZABNB, ZASICHEL, ZINBF, ZIBNB, ZISICHEL |
A truncated family of distributions from NBI has been generated
and saved under the names:
dNBItr pNBItr qNBItr rNBItr NBItr
The type of truncation is left
and the truncation parameter is 0
Zero inflated distribution, \(Y \sim {\bf ZID}\) is given by
\(Y=0\) with probability \(p\)
\(Y \sim {\bf D}\) with probability \(1-p\).
Hence
\[ \begin{split} P(Y=y) &= p + (1-p)P(Y_1=0) & \mbox{if $y=0$} \\ &= (1-p) P(Y_1=y) & \mbox{if $y=1,2,3,...$} \\ \end{split}\]
where \(Y_1 \sim {\bf D}\).
Zero adjusted distribution, \(Y \sim {\bf ZAD}\) is given by
\(Y=0\) with probability \(p\)
\(Y \sim {\bf Dtr}\) with probability \(1-p\),
where \({\bf Dtr}\) is a truncated distribution, \({\bf D}\) truncated at zero.
Hence
\[ \begin{split} P(Y=y) &= p & \mbox{if $y=0$} \\ &= (1-p) \frac{P(Y_1=y)}{1-P(Y_1=0)} & \mbox{if $y=1,2,3,...$} \\ \end{split}\]
where \(Y_1 \sim {\bf D}\).
Ad-hoc solutions
(i) quasi-likelihood (QL), Extended QL
(ii) Efron's Double Exponential
(iii) pseudo-likelihood (PL)Discretized continuous distributions for example if \(F_W(w)\) is the cdf a continuous random variable \(W\) defined in \(\Re^+\) then \[f_Y(y)=F_W(y+1)-F_W(y)\]
Random effect at the observation level solutions. \(f_Y(y)=\int f(y|\gamma) f_{\gamma}(\gamma) d\gamma\).
when an an explicit continuous mixture distribution, \(f_Y(y)\), exists.
when a continuous mixture distribution, \(f_Y(y)\), is not explicit but is approximated by integrating out the random effect using approximations, e.g. Gaussian quadrature or Laplace approximation.
when a non-parametric mixture (effectively a finite mixture) is assumed for the response variable.
Explicit continuous mixture distribution
\[ \underbrace{f_Y(y)}_\text{discrete}= \int \underbrace{f(y|\gamma)}_\text{discrete} \underbrace{ f_{\gamma}(\gamma)}_\text{continuous} d\gamma \]
Parametric mixture distribution
\[ \underbrace{f_Y(y)}_\text{discrete}= \int \underbrace{f(y|\gamma)}_\text{discrete} \underbrace{ f_{\gamma}(\gamma)}_\text{continuous} d\gamma \]
\(Y\sim PO-Normal(\mu,\sigma)\)
\(Y|\gamma \sim PO(\gamma \mu)\)
\(\log(\gamma) \sim NO(1, \sigma)\)
Non-parametric mixture distribution {.smaller}
\[ \underbrace{f_Y(y)}_\text{discrete}= \sum_{k=1}^{K} \underbrace{f(y| \gamma_k)}_\text{discrete} \underbrace{ p(\gamma=\gamma_k)}_\text{continuous} \]
\(Y\sim PO-NPFM(\mu,\sigma)\)
\(Y|\gamma \sim PO({\gamma \mu})\)
\(\log(\gamma) \sim NPFM(2)\)
where NPFM(2) equals Non-Parametric Finite Mixture with 2 point probabilities
| Distributions | R Name | mixing distribution for \(\gamma\) |
|---|---|---|
| Poisson | PO\((\mu)\) | - |
| Neg. bin. I | NBI\((\mu,\sigma)\) | GA\((1,\sigma^{\frac{1}{2}}\)) |
| Neg. bin. II | NBII\((\mu,\sigma)\) | GA\((1,\sigma^{\frac{1}{2}}/\mu)\) |
| Poisson IG | PIG\((\mu,\sigma)\) | IG\((1,\sigma^{\frac{1}{2}})\) |
| Sichel | SICHEL\((\mu,\sigma,\nu)\) | GIG\((1,\sigma^{\frac{1}{2}},\nu)\) |
| Delaporte | DEL\((\mu,\sigma,\nu)\) | SG\((1,\sigma^{\frac{1}{2}},\nu)\) |
| Zero inf. Poisson | ZIP\((\mu,\sigma)\) | BI\((1,1-\sigma)\) |
| Zero inf. Poisson 2 | ZIP2\((\mu,\sigma)\) | \((1-\sigma)^{-1}\)\((1,1-\sigma)\) |
| Zero inf. neg. bin. | \((\mu,\sigma, \nu)\) | zero inflated gamma |
| Poisson-Tweedie | - | Tweedie family |
| R Name | params | mean | variance |
|---|---|---|---|
| PO\((\mu)\) | 1 | \(\mu\) | \(\mu\) |
| NBI\((\mu,\sigma)\) | 2 | \(\mu\) | \(\mu+\sigma\mu^2\) |
| NBII\((\mu,\sigma)\) | 2 | \(\mu\) | \(\mu+\sigma\mu\) |
| PIG\((\mu,\sigma)\) | 2 | \(\mu\) | \(\mu+\sigma\mu^2\) |
| SICHEL\((\mu,\sigma,\nu)\) | 3 | \(\mu\) | \(\mu+h(\sigma,\nu)\mu^2\) |
| DEL\((\mu,\sigma,\nu)\) | 3 | \(\mu\) | \(\mu+\sigma(1-\nu)^2\mu^2\) |
| ZIP\((\mu,\sigma)\) | 2 | \((1-\sigma)\mu\) | \((1-\sigma)\mu+\sigma(1-\sigma)\mu^2\) |
| ZIP2\((\mu,\sigma)\) | 2 | \(\mu\) | \(\mu+ \frac{\sigma}{(1-\sigma)} \mu^2\) |
Negative Binomial type I: \[V \left[ Y \right]= \mu + \sigma \mu^2 \]Negative Binomial type II: \[V \left[ Y \right]= \mu + \sigma \mu\]Negative Binomial family \[V(Y)=\mu+\sigma \mu^{\nu}\]| Distribution | name | links | ||||
|---|---|---|---|---|---|---|
| \(\mu\) | \(\sigma\) | \(\nu\) | \(\tau\) | |||
| binomial | BI |
logit | - | - | - | |
| beta binomial | BB |
logit | log | - | - | |
| double binomial | DBI |
logit | log | - | - | |
| zero-adj beta binomial | ZABB |
logit | log | logit | - | |
| zero-adj binomial | ZABI |
logit | logit | - | - | |
| zero-inf beta binomial | ZABB |
logit | log | logit | - | |
| zero-inf binomial | ZIBI |
logit | logit | - | - |
Data summary: R data file: stylo in package gamlss.data of dimensions $ 64 $ - source: Dr Mario Corina-Borja
word: is the number of times a word appears in a single text
freq: the frequency of the number of times a word appears in a text
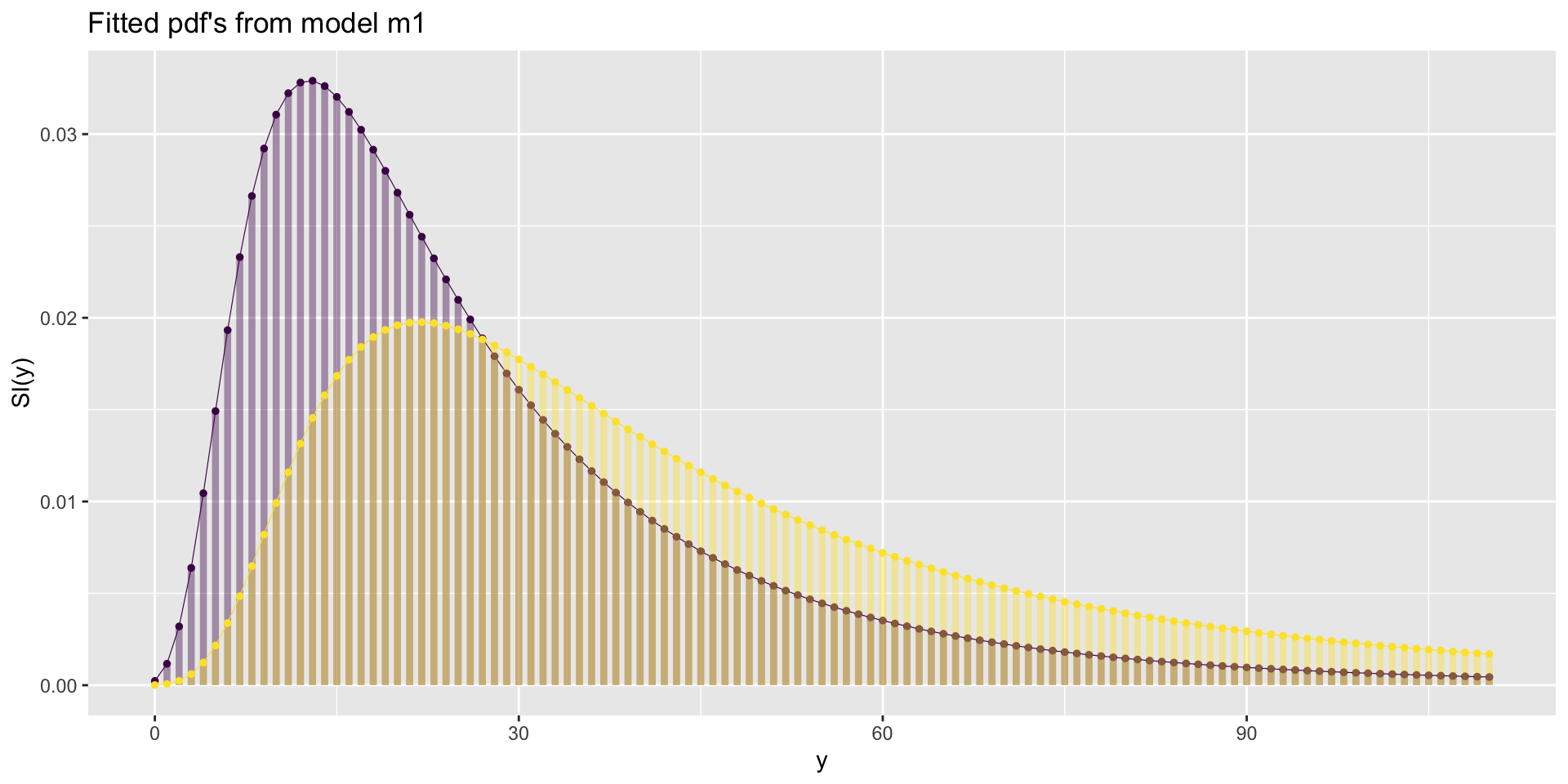
purpose: to demonstrate the fitting of a truncated discrete dist.
conclusion: the truncated SICHEL distributions fits best
A truncated family of distributions from PO has been generated
and saved under the names:
dPOtr pPOtr qPOtr rPOtr POtr
The type of truncation is left
and the truncation parameter is 0
A truncated family of distributions from NBII has been generated
and saved under the names:
dNBIItr pNBIItr qNBIItr rNBIItr NBIItr
The type of truncation is left
and the truncation parameter is 0
A truncated family of distributions from DEL has been generated
and saved under the names:
dDELtr pDELtr qDELtr rDELtr DELtr
The type of truncation is left
and the truncation parameter is 0
A truncated family of distributions from SICHEL has been generated
and saved under the names:
dSICHELtr pSICHELtr qSICHELtr rSICHELtr SICHELtr
The type of truncation is left
and the truncation parameter is 0
library(gamlss2)
mPO <- gamlss2(word ~ 1, weights = freq, data = stylo, family = POtr,
trace = FALSE)
mNBII <- gamlss2(word ~ 1, weights = freq, data = stylo, family = NBIItr,
n.cyc = 50, trace = FALSE)
mDEL <- gamlss2(word ~ 1, weights = freq, data = stylo, family = DELtr,
n.cyc = 50, trace = FALSE)
mSI <- gamlss2(word ~ 1, weights = freq, data = stylo, family = SICHELtr,
n.cyc = 50, trace = FALSE)
gamlss2::GAIC(mPO, mNBII, mDEL, mSI) AIC df
mSI 5149.054 3
mDEL 5160.706 3
mNBII 5322.344 2
mPO 9207.459 1
R data file: species in package gamlss.data of dimensions \(70 \times 2\)
variables
fish: the number of different species in 70 lakes in the worldlake: the lake area| Model | \(f_Y(y)\) | \(\mu\) | \(\sigma\) | \(\nu\) | GDEV | df | AIC | SBC |
|---|---|---|---|---|---|---|---|---|
| 1 | PO | poly(x,2) | - | - | 1849.3 | 3 | 1855.3 | 1862.0 |
| 2 | NBI | \(x\) | \(1\) | - | 619.8 | 3 | 625.8 | 632.6 |
| 3 | NBI | poly(x,2) | \(1\) | - | 614.3 | 4 | 622.3 | 631.3 |
| 4 | NBI | s(x) | \(1\) | - | 611.9 | 6 | 623.9 | 637.4 |
| 5 | NBI | poly(x,2) | x | - | 605.0 | 5 | 615.0 | 626.2 |
| 6 | NBI-fam | poly(x,2) | 1 | 1 | 606.0 | 5 | 616.0 | 627.3 |
| 7 | NBI-fam | poly(x,2) | x | 1 | 604.9 | 6 | 616.9 | 630.4 |
| 8 | PIG | poly(x,2) | \(1\) | - | 613.3 | 4 | 621.3 | 630.3 |
| 9 | SI | poly(x,2) | \(1\) | x | 597.7 | 6 | 609.7 |
623.2 |
| Model | \(f_Y(y)\) | \(\mu\) | \(\sigma\) | \(\nu\) | GDEV | df | AIC | SBC |
|---|---|---|---|---|---|---|---|---|
| 10 | DEL | poly(x,2) | 1 | x | 600.6 | 6 | 612.6 | 626.1 |
| 11 | DEL | poly(x,2) | - | x | 600.6 | 5 | 610.6 | 621.9 |
| 12 | PO-Normal | poly(x,2) | 1 | - | 615.2 | 4 | 623.2 | 632.2 |
| 13 | NBI-Normal | poly(x,2) | x | \(1\) | 603.7 | 6 | 615.7 | 629.2 |
| 14 | PO-NPFM(5) | poly(x,2) | - | \(-\) | 601.9 | 13 | 627.9 | 657.2 |
| 15 | NB-NPFM(2) | poly(x,2) | 1 | \(-\) | 611.9 | 6 | 623.9 | 637.4 |
| 16 | doublePO | poly(x,2) | x | - | 616.4 | 5 | 626.4 | 637.6 |
| 17 | IGdisc | poly(x,2) | 1 | - | 603.3 | 4 | 611.3 | 620.3 |


library(gamlss.prepdata)
da <- aep[, -c(1,2,3,8,9)]
da$r <- with(aep, noinap/los*100)
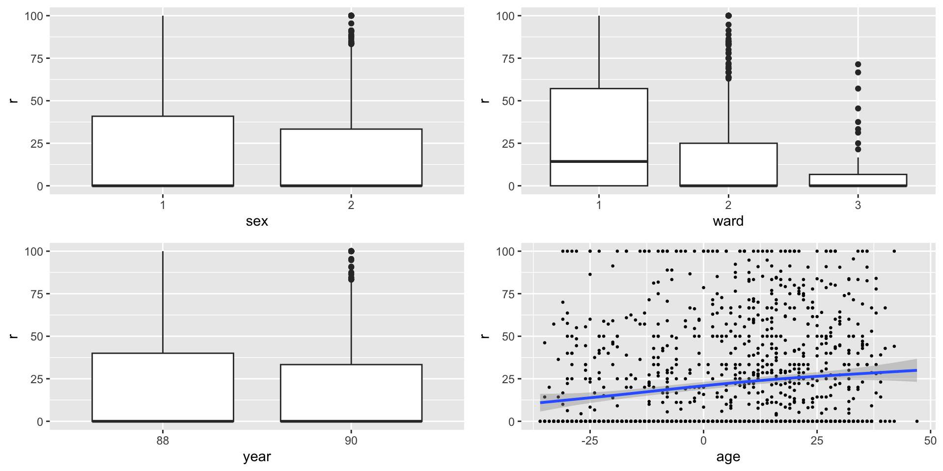
data_xyplot(da, response=r)100 % of data are ploted,
that is, 1383 observations.
library(gamlss2)
mI <- gamlss2(y ~ ward + year + loglos|year, family = BB, data = aep, trace=F)
mII <- gamlss2(y ~ ward + year + loglos|year + ward, family = BB,
data = aep, trace=FALSE)
mIII <- gamlss2(y ~ ward + year + s(loglos)| year+ward,
family = BB, data = aep,trace=FALSE)
mIV <- gamlss2(y ~ ward + year + s(loglos)+s(age)| year+ward,
family = BB, data = aep,trace=FALSE)
gamlss2::GAIC(mI, mII, mIII, mIV, k = 2) AIC df
mIV 4476.796 15.86038
mIII 4477.800 14.09619
mII 4501.020 9.00000
mI 4533.441 7.00000
The Books

www.gamlss.com